mecobalamin’s diary

人間万事塞翁が馬

https://help.hatenablog.com/entry/developer-option

2020-01-01から1年間の記事一覧

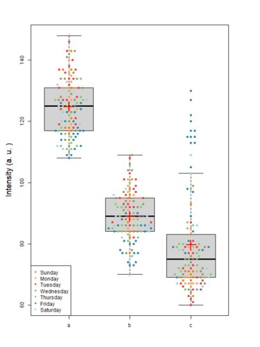
Rでboxplotとbeeswarmを重ねて表示、その2

Rを使ってboxplotとbeeswarmを重ねて表示する 一度記事を書いているので今回はその2 mecobalamin.hatenablog.com時系列データを曜日でまとめてbeeswarmでプロットする こんなグラフができる boxplot.png元のデータはこれと同じフォーマット mecobalamin.hate…

メモリの換装

メモリを換装した オリジナルより動作クロックの高いメモリが無事動いたのでメモPCはAsusのノートPCのUX310UAK スペックはこんな感じ CPU 第7世代 インテル Core i5 7200U(Kaby Lake) 2.5GHz/2コア 画面サイズ 13.3 インチ メモリ容量 8GB メモリ規格 DDR4 P…

pythonで時系列の線グラフを作る

Pythonを使って上のようなグラフを作る 前回はヒストグラムだったが今回は線グラフ mecobalamin.hatenablog.com元のデータは以下のようなCSV形式 Date, a, b, c, d 2020/11/24 16:42:20, 143, 101, 63, 2020/11/24 17:27:19, 137, 101, 65, 2020/11/25 06:31…

メモ:Pythonで時系列グラフの作成

時系列のデータをグラフにするとき ハマったところをメモ 参考にしたサイト note.nkmk.me oku.edu.mie-u.ac.jp元のデータはこれを使った 陽性者一覧(CSV:175KB)csvのカラムは以下のようになっている 確定陽性者 性別 年齢 発病日 確定日 居住地 職業 推定…

JBrowseをDockerで動かす、その7、イメージの作成

mecobalamin.hatenablog.com 続きです 前回までに作ったコンテナをイメージにする イメージにするとインストールしたコマンドなどが保存される使用しているコンテナは以下のコマンドで起動しているとする $ docker run --rm -v /e/hoge:/tmp/fuga -v JBrowse…

JBrowseをDockerで動かす、その6、bamファイルの登録

mecobalamin.hatenablog.com 続きです前回はJBrowseのテストデータを表示した 今回は自作のbamファイルをJBrowseに表示するbamファイルは以下のように作った mecobalamin.hatenablog.com できたのは次の2ファイル sort_SRR6799791.bam sort_SRR6799791.bam.…

JBrowseをDockerで動かす、その5、Nginxの起動とJBrowseへのアクセス

続きです mecobalamin.hatenablog.comJBrowseにアクセスするウェブサーバーをVMに起動する 使用するウェブサーバーはNginx エンジンエックスと呼ぶらしい nginx - Wikipedia起動は次のようにする $ docker run --rm -v JBrowse:/usr/share/nginx/html/ -d -p…

JBrowseをDockerで動かす、その4、JBrowseのインストール

続きです mecobalamin.hatenablog.comボリュームのJBrowseにJBrowseをインストールする 名前を一緒にしてしまってややこしい以下のコマンドでマウントしているものとする $ docker run --rm -v /e/hoge:/tmp/fuga -v JBrowse:/usr/share/nginx/html/ -it --n…

JBrowseをDockerで動かす、その3、Dockerfileのbuild

続きです mecobalamin.hatenablog.comJBrowseをインストールする環境を DockerのUbuntuに作成する 作成にはDockerfileを利用する以下のような内容のテキストファイルを ファイル名をDockerfileとして 任意のディレクトリに保存する FROM ubuntu:latest RUN a…

JBrowseをDockerで動かす、その2、Docker volumeの作成

続きです mecobalamin.hatenablog.comJBrowse本体とBamファイルはDockerのボリュームに保存する Dockerのボリュームとは ボリュームとは、Docker コンテナーにおいて生成され利用されるデータを、永続的に保持する目的で利用される仕組みです。 ボリュームの…

JBrowseをDockerで動かす、その1、VMの作成とネットワーク設定

DockerのUbuntuにJBrowseをインストールし Nginxを使ってローカルネットワークで bamファイルを共有する JBrowseはDockerの永続ボリュームである Docker volume上にインストールするメリットはなんだろうコンテナ間でファイルの共有しつつ そのファイルをロ…

はてなブログでスタイルシートを使う

~~~~~ 16 March 2023追記 ~~~~~ 今はもう少しシンプルに書いてて次のように書いてる hogehogeで外枠をつくり その内部にfuga1とfuga2で2つコンテンツを配置する それらの幅はそれぞれ30%と70% .hogehoge{ display: flex; border: solid 3px #dcdcdc; backgro…

Windows Terminalのインストールと設定

【改版】動かして学ぶPowerShell作者:柏原基規Amazon つい最近、WSLをPowerShellから起動できることを知った 以下のようにするだけ $ wsl 今までWSLをインストールしたときに標準でつかえる ターミナルエミュレータを使っていたが PowerShellでWSLを使えるな…

pythonでirisのデータセットを使う

pythonでもirisのデータセットを使える mecobalamin.hatenablog.comこちらのサイトで紹介されている Sklearnを使ってみる1 - ぴろの狂人日記 iris以外のデータセットも使える scikit-learnのサンプルデータセットの一覧と使い方 | note.nkmk.me 今回はirisの…

pandasでgroupbyを使う

pythonのpandasで表の集計をしている groupbyが便利だったのでメモgroupbyについて参考にした Pandasのgroupbyを使った要素をグループ化して処理をする方法 - DeepAge例えばirisのデータで種毎に平均値を計算してみるpythonでもirisのデータが使えた 【pytho…

Pythonista3でTableviewを使う

PythonではじめるiOSプログラミング作者:掌田 津耶乃発売日: 2019/10/31メディア: Kindle版Pythonisata3でui.tableviewを使うときにハマったのでメモ.pyuiファイルにTextFieldを配置したとき TextFieldの中身はsuperviewで読み出せる 例えばTextFieldの名前…

WSLとJupyter-notebookでCNN、その2、CNNを試す

Programming for Computations - MATLAB/Octave: A Gentle Introduction to Numerical Simulations with MATLAB/Octave (Texts in Computational Science and Engineering Book 14) (English Edition)作者:Linge, Svein,Langtangen, Hans Petter発売日: 2016…

WSLとJupyter-notebookでCNN、その1、環境構築

Programming for Computations - Python: A Gentle Introduction to Numerical Simulations with Python (Texts in Computational Science and Engineering Book 15) (English Edition)作者:Linge, Svein,Langtangen, Hans PetterSpringerAmazon画像の分類を…

Pythonで数値のみの入力

以前、選択肢を数字で選ばせる pythonのスクリプトの記事を書いた mecobalamin.hatenablog.com該当する部分は以下のコード print('計算の種類を選んで数字を入力してね') print('1: 少数のたし算・ひき算') print('2: 大きな数のかけ算') print('3: あまりの…

Pythonista3でpythonプログラミング

pythonプログラミングに利用している iOSアプリのPythonista3 mecobalamin.hatenablog.com mecobalamin.hatenablog.com割と色々できて便利まずはpythonistaについてiOS上で動作する革命的ものづくり環境「Pythonista 3」の魅力をとくと語る iOS上で動作する…

RNA-seqその10、Dockerで環境構築

RNA-Seqのパイプラインに限らず 他人のスクリプトが自分の環境では うまく動かないことはよくある話かと言ってクリーンな環境を 毎回用意もできないそこでDockerをつかって クリーンなubuntuに RNA-Seqのパイプラインを実行できる 環境を作ってみた 作ったの…

WSLで動くDockerのストレージサイズを変える

WSLで動くDockerでTrinityを動かしたい Trinityについては過去記事を参照 mecobalamin.hatenablog.comUbuntuのイメージを実行して 足りないコマンドをインストールして Trinityを動かせたがストレージサイズが足りなくて途中で止まったそこでWSLで動くDocker…

pythonで計算問題をつくる

小学校が休校になって一ヶ月以上になる 自宅学習をさせているけど 計算問題をこなす数が足りない気がしたので pythonの勉強も兼ねてiPadのpythonisata3を使って ランダムに計算問題を作るスクリプトを書いた出力したいのは 2-3桁の掛け算 あまりのある割り算…

wslのDockerからWindowsファイルにアクセスする

wslでdockerを使っている dockerのコンテナからwindowsのにアクセスしたい そのためにdockerからwindowsのディレクトリにマウントする環境は windows10 home, version 1909 virtual box, version 5.2.20 r125813 (Qt5.6.2) Docker tool box ubuntu on wsl do…

ImageNetから画像を一括ダウンロードする

3 November 2020 追記 落としたファイルがESETのウィルススキャンに引っかかた マルウェアだったっぽい ファイルのチェックが必要 追記ここまで 機械学習に使う画像を探してみたら ImageNetに行き着いた 有名なサイトのようだ image-net.org starpentagon.ne…

バイオインフォマティクス技術者認定試験

4 September 2021追記 2021年度の申し込みが始まっている 去年より申込期限と試験日が早くなっている 4 受験申し込み 詳しくは、JSBi認定試験ホームページ https://www.jsbi.org/activity/nintei/ https://www.jsbi.org/activity/nintei/2021 (今年度 受験…

OpenCVを使って物体認識その5、pythonスクリプトで物体認識

続きです mecobalamin.hatenablog.com まず認識結果から これだけだとそれなりに うまくできてそうだけど実際は認識できてないのが多い 何故か手前じゃなくて奥の猫とか 下を向いていたり、足だけとか 正面向いてるのに全く認識できてないとか なんでだろ 正…

OpenCVを使って物体認識その4、createsamplesとtraincascade

続きです mecobalamin.hatenablog.com生成した正解データと不正解データを使って 学習させたcascade.xmlを生成する正解データのモンタージュ 不正解データのモンタージュ 逆さまとはいえ猫の顔の一部や全体が入っているので うまくいかないかもだがとりあえ…

OpenCVを使って物体認識その3、不正解データの作成

猫の顔を認識させたい mecobalamin.hatenablog.comこの続き不正解画像を作成する ImageJのコードはほぼ同じ入力画像を工夫する オリジナルの画像を反転させて使ってみる 2 July 2020 追記 オリジナル画像を反転させて使ったのは このとき手元にちょうどよい…

OpenCVを使って物体認識、番外、使用した画像について

猫の画像はphoto-acからダウンロードした www.photo-ac.comフリーで使えるが ダウンロードできる回数とか 検索回数に制限がある使った画像のリンクを残す リンクを残し忘れて探したけど見つからないのが多数 見つけ次第追加する予定12 February 2020 追記 me…